氯离子(Cl−)是最重要的细胞外阴离子,参与多种生理和病理过程,其失调与相关的精神和神经疾病有关。因此,开发一种可靠的脑Cl−体内测量方法,对于更好地了解Cl−在大脑中的功能及其相关疾病和治疗具有重要意义。
电化学方法具有简单、灵敏度高的优点,尤其适用于实时、现场检测。近年来,从离子选择电极到全固态电极,大量的电化学方法蓬勃发展,但它们很少应用于体内分析。在我们之前的工作中,Ti3C2Tx通过简单的浸渍过程自还原Ag+离子,在电极上形成均匀的纳米Ag NPs,使所得到的Ag基电极对Cl−有很好的选择性和显著的重现性。然而,对于大多数Ag NPs修饰电极而言,Ag NPs是通过额外添加还原剂来形成的,这通常会导致Ag NPs的聚集和Ag试剂的浪费。这主要是因为在溶液中,电子倾向于聚集并传递到最初形成在电极表面形成的Ag岛使其生长为尺寸较大且不均匀的Ag NPs。因此,利用一般还原剂直接还原Ag+离子,获得均匀的Ag NPs修饰电极,以开发高性能的Cl−电化学传感器仍然具有挑战性。
为此,我们采用钛酸盐纳米线(TNWs)作为吸附剂吸附Ag+离子,再加入抗坏血酸原位还原表面Ag+离子以形成均匀的纳米Ag NPs作为Cl−识别元素,同时在TNWs上吸附亚甲基蓝(MB)作为内置校正信号单元,以碳纤维丝微电极为基底电极构建了高性能的Cl−电化学微传感器。

图1 比率型Cl−电化学微传感器的构建


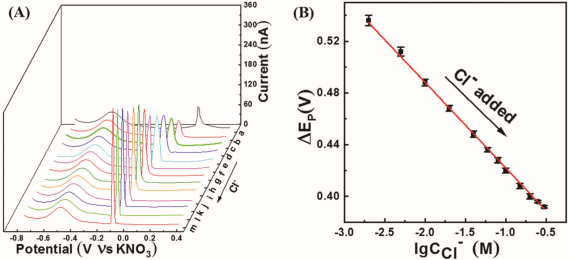
图2Cl−电化学微传感器SEM图及电化学行为
这一研究成果发表在RSC分析化学期刊《Analyst》上,文章第一作者为2018级本科生肖夏,通讯作者为谷慧副教授,第一单位为betway88西汉姆联。该研究工作得到湖南省自然科学基金(2021JJ30238)和湖南省教育厅优秀青年项目(20B221)的资助。
文章的标题为:A ratiometric electrochemical microsensor formonitoring chloride ions in vivo, Analyst, 2021, 146, 6202-6210.
文章的链接为:https://pubs.rsc.org/en/content/articlelanding/2021/an/d1an01370j